Keywords:

  • squared spherical Bessel functions;
  • Weber integrals;
  • Beltrami integrals;
  • finite Legendre series;
  • Gaussian power-law densities;
  • high-index asymptotics;
  • Debye expansion;
  • Airy approximation

Abstract

  1. Top of page
  2. Abstract
  3. Introduction
  4. Weber averages normal inline image
  5. High-index asymptotics of Weber integrals
  6. Squared spherical Bessel functions averaged with exponentially cut power laws
  7. Airy approximation of Weber and Beltrami integrals
  8. Beltrami integrals with negative power-law exponent
  9. Antiderivatives of finite Legendre series: explicit formulae for high-precision evaluation of Beltrami integrals
  10. Conclusion
  11. APPENDIX: Multiple integrals of finite Legendre series: outline of iterative calculation
  12. References

Weber integrals inline image and Beltrami integrals inline image are studied, which arise in the multipole expansions of spherical random fields. These integrals define spectral averages of squared spherical Bessel functions inline image with Gaussian or exponentially cut power-law densities. Finite series representations of the integrals are derived for integer power-law index μ, which admit high-precision evaluation at low and moderate Bessel index n. At high n, numerically tractable uniform asymptotic approximations are obtained on the basis of the Debye expansion of modified spherical Bessel functions in the case of Weber integrals. The high-n approximation of Beltrami integrals can be reduced to Legendre asymptotics. The Airy approximation of Weber and Beltrami integrals is derived as well, and numerical tests are performed over a wide range of Bessel indices by comparing the exact finite series expansions of the integrals with their high-index asymptotics. Copyright © 2013 John Wiley & Sons, Ltd.

Introduction

  1. Top of page
  2. Abstract
  3. Introduction
  4. Weber averages normal inline image
  5. High-index asymptotics of Weber integrals
  6. Squared spherical Bessel functions averaged with exponentially cut power laws
  7. Airy approximation of Weber and Beltrami integrals
  8. Beltrami integrals with negative power-law exponent
  9. Antiderivatives of finite Legendre series: explicit formulae for high-precision evaluation of Beltrami integrals
  10. Conclusion
  11. APPENDIX: Multiple integrals of finite Legendre series: outline of iterative calculation
  12. References

We investigate two classes of Bessel integrals containing squared spherical Bessel functions, which arise in the spectral theory of spherical Gaussian random fields, in multipole expansions of correlation functions of the cosmic microwave background [1, 2]. We study Weber integrals, inline image, that is squared spherical Bessel functions averaged with Gaussian power laws, as well as Beltrami integrals, inline image, where the average is performed with exponentially cut power laws at integer power-law exponent μ. We derive finite series expansions of these integrals and also study their high-index asymptotics, obtaining asymptotic approximations suitable for numerical evaluation at high Bessel index n.

In Section 2, we obtain exact finite series representations of Weber integrals, which allow high-precision evaluation at low and moderate Bessel index. In Section 3, we derive the high-index asymptotics of Weber integrals based on the Debye expansion of modified Bessel functions of the first kind.

In Section 4, we study Beltrami integrals with integer power-law exponents μ ≥ − 1. We derive explicit finite series expansions of these integrals as well as an asymptotic high-n approximation in terms of modified Bessel functions of the second kind. In Section 5, we derive the Airy approximation of Weber and Beltrami integrals valid for real power-law exponents μ.

In Section 6, we investigate Beltrami integrals with negative integer power-law exponent μ ≤ − 2, which can be reduced to multiple antiderivatives of finite Legendre series. The latter are studied in Section 7 and Appendix A, where finite series representations of the antiderivatives are derived suitable for high-precision evaluation.

In Tables 1-7, we give numerical examples of Weber and Beltrami integrals, testing their asymptotic high-n approximations over a wide range of Bessel indices by comparison with the exact finite series expansions. In Section 8, we present our conclusions.

Table 1. Weber integral E0(n,p; a) defined in (2.2), with parameters p = 1 and a = 6.26 × 10 − 5. The integral is calculated at the indicated Bessel index n. In the second column, we use the exact finite series (2.5); the indicated decimal digits are significant, and the numbers are truncated without rounding (in all tables). We also calculated this integral in Debye expansion, see (3.14) and (3.15), with the series coefficients U1,2 in (3.19). The second-order Debye expansion coincides with the exact series evaluation in the indicated decimal digits. In the third column, we list the Airy approximation (5.9), whose accuracy is evidently limited. The exponent a = 6.26 × 10 − 5 is also used in Tables 2 and 3, stemming from a multipole spectral fit of cosmic microwave background temperature fluctuations [2]. inline image.
nE0(n,p; a)E0(n,p; a)
 Weber/DebyeAiry
056.00512597056.00424
155.99811412855.99723
1055.62077550355.61992
10029.75960632429.76007
3001.9651353936 × 10 − 11.964489 × 10 − 1
5008.7041426233 × 10 − 68.668000 × 10 − 6
8002.1895639884 × 10 − 162.122742 × 10 − 16
10003.6977148212 × 10 − 263.421366 × 10 − 26
15005.1457748814 × 10 − 603.443998 × 10 − 60
20003.1497036162 × 10 − 1078.841155 × 10 − 108
Table 2. Weber integrals E2,4(n,p; a) defined in (2.6) and (2.8), with p = 1, a = 6.26 × 10 − 5, and Bessel index n. The Weber series evaluation (second and fifth column) is based on the finite series (2.7) and (2.9). The second-order Debye approximations (3.14), (3.15), (3.16) (calculated with coefficients U1,2(q) and V1,2(q) in (3.19) and (3.20)) are given in the third and sixth column, and the Airy approximation (5.9) in the fourth and seventh column. At high Bessel index, the Airy approximation fails when the integrals become negligible. The Debye approximation of E2(n,p; a) is noticeably more accurate than the Airy approximation, see after (5.9). A similar accuracy can be achieved for E4(n,p; a) by adding a further order (U3(q) and V3(q) [3]) to the Debye expansions (3.15) and (3.16).
 E2(n,p; a)E2(n,p; a)E2(n,p; a)E4(n,p; a)E4(n,p; a)E4(n,p; a)
nWeber seriesDebyeAiryWeber seriesDebyeAiry
04.47325287304.47325289764.4733221.07186570441.07180280221.071871
  × 105 × 105 × 105 × 1010 × 1010 × 1010
14.47381292434.47381294894.4738821.07191043691.07184754261.071916
  × 105 × 105 × 105 × 1010 × 1010 × 1010
54.48163157304.48163159764.4816991.07253845201.07247566831.072544
  × 105 × 105 × 105 × 1010 × 1010 × 1010
104.50374444214.50374446664.5038071.07435067401.07428820481.074356
  × 105 × 105 × 105 × 1010 × 1010 × 1010
505.03078105515.03078107615.0307291.13924085141.13918725661.139249
  × 105 × 105 × 105 × 1010 × 1010 × 1010
1005.38294297205.38294298515.3828431.35335613571.35332277611.353333
  × 105 × 105 × 105 × 1010 × 1010 × 1010
5002.24804541632.24804541672.2405695.81783911525.81783818405.80265
     × 105 × 105 × 105
10003.71699669423.71699669443.452113.73730055123.73730051723.48357
  × 10 − 20 × 10 − 20 × 10 − 20 × 10 − 14 × 10 − 14 × 10 − 14
20001.24400396671.24400396673.545294.91393857824.91393857681.42166
  × 10 − 100 × 10 − 100 × 10 − 101 × 10 − 94 × 10 − 94 × 10 − 94
Table 3. Weber integrals E − 2, − 4, − 6(n,p; a) defined in (2.19), (2.30), and (2.39), with p = 1 and a = 6.26 × 10 − 5. The series evaluation of E − 2, − 4, − 6 in columns 2, 4, and 6 is based on the finite Weber series (2.13), (2.25), and (2.34). The integrals E − 4 and E − 6 converge for Bessel index n ≥ 1 and n ≥ 2, respectively. The corresponding Airy approximation (5.9) is recorded in columns 3, 5, and 7.
 E − 2(n,p; a)E − 2(n,p; a)E − 4(n,p; a)E − 4(n,p; a)E − 6(n,p; a)E − 6(n,p; a)
nWeber seriesAiryWeber seriesAiryWeber seriesAiry
01.56378448501.5637845
15.16587226455.16587262.09407025571.1632279
  × 10 − 1 × 10 − 1 × 10 − 1 × 10 − 1
51.35792211401.35792242.43237319142.35167836.95908912785.8372972
  × 10 − 1 × 10 − 1 × 10 − 3 × 10 − 3 × 10 − 5 × 10 − 5
106.78040452356.78040813.37943051643.34837982.39517949852.2865785
  × 10 − 2 × 10 − 2 × 10 − 4 × 10 − 4 × 10 − 6 × 10 − 6
508.89650040728.89652162.36040756002.35921087.30850092977.2916395
  × 10 − 3 × 10 − 3 × 10 − 6 × 10 − 6 × 10 − 10 × 10 − 10
1002.03806528852.03806011.57796329361.57757941.31042224221.3092397
  × 10 − 3 × 10 − 3 × 10 − 7 × 10 − 7 × 10 − 11 × 10 − 11
5003.37632557993.35911101.31187123261.30377435.10513583695.0674595
  × 10 − 11 × 10 − 11 × 10 − 16 × 10 − 16 × 10 − 22 × 10 − 22
10003.67943362353.39130303.66213332743.36190063.64579561253.3331348
  × 10 − 32 × 10 − 32 × 10 − 38 × 10 − 38 × 10 − 44 × 10 − 44
20007.97578936232.20480122.01991877765.49836095.11623591541.3711987
  × 10 − 114 × 10 − 114 × 10 − 120 × 10 − 121 × 10 − 127 × 10 − 127
Table 4. Beltrami integrals H − 1(n,p; b) and H0(n,p; b) as defined in (4.1), with parameters p = 1 and b = 2.1 × 10 − 4, used in the spectral fit of the cosmic microwave background in [2]. n denotes the Bessel index. The Legendre series evaluation is compared with the asymptotic modified-Bessel and Airy approximations in Sections 4.3 and 5. In columns 2 and 5, we list the exact series evaluation, see (4.8) and (4.12), based on the finite Legendre series (4.9) and (4.13). All decimal digits are significant, and the numbers are truncated. In columns 3 and 6, we record the modified Bessel approximation, see (4.21) and (4.22), and in columns 4 and 7, the Airy approximation (5.10). The Airy and modified Bessel approximations are high-index approximations but quite efficient at low n as well. inline image.
 H − 1(n,p; b)H − 1(n,p; b)H − 1(n,p; b)H0(n,p; b)H0(n,p; b)H0(n,p; b)
nLegendremodified BesselAiryLegendremodified BesselAiry
04.58077510664.63874085974.638740872.38095235472.38095223512.38095225
     × 103 × 103 × 103
14.08077520764.08943481714.089434832.38095144522.38095133822.38095135
     × 103 × 103 × 103
53.43910974283.43979452753.439794532.38094073402.38094064372.38094066
     × 103 × 103 × 103
103.11629536533.11648402813.116484032.38091347402.38091339222.38091340
     × 103 × 103 × 103
502.33125203292.33126019912.331260202.38026123462.38026117342.38026119
     × 103 × 103 × 103
1001.98736329961.98736536011.987365362.37857977042.37857971822.37857973
     × 103 × 103 × 103
5001.18901889301.18901897481.189018972.34315926102.34315922982.34315924
     × 103 × 103 × 103
10008.52854734538.52854754348.528547562.26574364102.26574361862.26574363
  × 10 − 1 × 10 − 1 × 10 − 1 × 103 × 103 × 103
20005.35949723305.35949727805.359497282.05888659832.05888658422.05888659
  × 10 − 1 × 10 − 1 × 10 − 1 × 103 × 103 × 103
1045.03854266955.03854267485.038542666.13679147026.13679145696.13679148
  × 10 − 2 × 10 − 2 × 10 − 2 × 102 × 102 × 102
1051.03077323711.030773201.05504140641.05504137
   × 10 − 10 × 10 − 10  × 10 − 5 × 10 − 5
Table 5. Beltrami integrals H1,2(n,p; b), see (4.1), with p = 1, b = 2.1 × 10 − 4, and Bessel index n. The caption to Table 4 applies. The finite Legendre series evaluation of H1(n,p; b) (column 2) is based on (4.14) and (4.15), and of H2(n,p; b) (column 5) on (4.16) and (4.17). The modified Bessel approximation (in columns 3 and 6) is based on (4.21) and (4.22), and the Airy approximation (in columns 4 and 7) on (5.10).
 H1(n,p; b)H1(n,p; b)H1(n,p; b)H2(n,p; b)H2(n,p; b)H2(n,p; b)
nLegendremodified BesselAiryLegendremodified BesselAiry
01.13378686051.13378688621.133786901.07979699811.07979697331.07979700
  × 107 × 107 × 107 × 1011 × 1011 × 1011
11.13378724361.13378726331.133787271.07979702191.07979699711.07979702
  × 107 × 107 × 107 × 1011 × 1011 × 1011
51.13379164421.13379165591.133791671.07979735531.07979733051.07979735
  × 107 × 107 × 107 × 1011 × 1011 × 1011
101.13380262521.13380263291.133802641.07979830761.07979828281.07979831
  × 107 × 107 × 107 × 1011 × 1011 × 1011
501.13405222501.13405222291.134052231.07982734231.07982731741.07982734
  × 107 × 107 × 107 × 1011 × 1011 × 1011
1001.13466429541.13466428901.134664301.07991705991.07991703501.07991706
  × 107 × 107 × 107 × 1011 × 1011 × 1011
5001.14557507181.14557505591.145575071.08271018411.08271015881.08271018
  × 107 × 107 × 107 × 1011 × 1011 × 1011
10001.16429632511.16429630601.164296321.09088098511.09088095891.09088098
  × 107 × 107 × 107 × 1011 × 1011 × 1011
20001.19490928821.19490926781.194909281.11826877751.11826874951.11826877
  × 107 × 107 × 107 × 1011 × 1011 × 1011
1047.96132818517.96132811087.961328191.13200765381.13200763201.13200765
  × 106 × 106 × 106 × 1011 × 1011 × 1011
1051.08102360011.081023571.10892164281.10892162
      × 105 × 105
Table 6. Beltrami integrals H − 2, − 3, − 4(n,p; b), see (4.1), with p = 1, b = 2.1 × 10 − 4. The caption to Table 4 applies. The integrals H − 3 and H − 4 are convergent for Bessel indices n  ≥ 1. In columns 2, 4, and 6, the exact evaluation is given by means of finite Legendre series efficient at low and moderate Bessel index; the calculation of H − 2 is explained in Section 6.1, of H − 3 in Section 6.2, and of H − 4 in Section 6.3. The Legendre evaluation is compared with the Airy approximation (5.10) listed in columns 3, 5, and 7.
 H − 2(n,p; b)H − 2(n,p; b)H − 3(n,p; b)H − 3(n,p; b)H − 4(n,p; b)H − 4(n,p; b)
nLegendreAiryLegendreAiryLegendreAiry
01.56972936401.56971719
15.22636812815.226349942.49890150772.221123732.09387021771.16308628
  × 10 − 1 × 10 − 1 × 10 − 1 × 10 − 1 × 10 − 1 × 10 − 1
51.41972453201.419723091.66367711061.649903002.43752307482.35685712
  × 10 − 1 × 10 − 1 × 10 − 2 × 10 − 2 × 10 − 3 × 10 − 3
107.40404036587.404036404.52983183394.519524683.41380393243.38277493
  × 10 − 2 × 10 − 2 × 10 − 3 × 10 − 3 × 10 − 4 × 10 − 4
501.49578867681.495788501.92880359381.928611383.00955644203.00836436
  × 10 − 2 × 10 − 2 × 10 − 4 × 10 − 4 × 10 − 6 × 10 − 6
1007.29259828037.292597844.79241738954.792294863.76677116733.76639067
  × 10 − 3 × 10 − 3 × 10 − 5 × 10 − 5 × 10 − 7 × 10 − 7
5001.21515277741.215152751.70914306741.709141072.74439515342.74438306
  × 10 − 3 × 10 − 3 × 10 − 6 × 10 − 6 × 10 − 9 × 10 − 9
10005.02852749765.028527453.69731761573.697316373.01813945163.01813579
  × 10 − 4 × 10 − 4 × 10 − 7 × 10 − 7 × 10 − 10 × 10 − 10
20001.80761951461.807619507.00775190327.007751132.92874710192.92874603
  × 10 − 4 × 10 − 4 × 10 − 8 × 10 − 8 × 10 − 11 × 10 − 11
1044.31930360594.319303573.81543605963.815435973.44316902133.44316885
  × 10 − 6 × 10 − 6 × 10 − 10 × 10 − 10 × 10 − 14 × 10 − 14
1051.008044859.867052479.66622657
   × 10 − 15  × 10 − 21  × 10 − 26
Table 7. Beltrami integral H − 5(n,p; b), see (4.1), with p = 1, b = 2.1 × 10 − 4. The caption to Table 4 applies. This integral is convergent for Bessel index n ≥ 2. The exact finite Legendre evaluation of H − 5 in Section 6.4 is compared with the high-n Airy approximation (5.10).
 H − 5(n,p; b)H − 5(n,p; b)
nLegendreAiry
21.3882607540 × 10 − 28.5280572 × 10 − 3
53.9631314991 × 10 − 43.6377853 × 10 − 4
102.7986571511 × 10 − 52.7352277 × 10 − 5
505.0666289159 × 10 − 85.0616252 × 10 − 8
1003.1881303364 × 10 − 93.1873294 × 10 − 9
5004.6961147000 × 10 − 124.6960642 × 10 − 12
10002.6027977479 × 10 − 132.6027902 × 10 − 13
20001.2785389049 × 10 − 141. 27853784 × 10 − 14
1043.1563618800 × 10 − 183.15636161 × 10 − 18
1059.47681771 × 10 − 31

Weber averages normal inline image

  1. Top of page
  2. Abstract
  3. Introduction
  4. Weber averages normal inline image
  5. High-index asymptotics of Weber integrals
  6. Squared spherical Bessel functions averaged with exponentially cut power laws
  7. Airy approximation of Weber and Beltrami integrals
  8. Beltrami integrals with negative power-law exponent
  9. Antiderivatives of finite Legendre series: explicit formulae for high-precision evaluation of Beltrami integrals
  10. Conclusion
  11. APPENDIX: Multiple integrals of finite Legendre series: outline of iterative calculation
  12. References

We calculate the integrals

  • display math(2.1)

where the squared spherical Bessel function inline image [3, 4] is averaged with a Gaussian power law inline image, Rea > 0, and p is a positive scale parameter. The Bessel index n is a nonnegative integer. For this integral to converge, the condition μ + 2 + 2n > − 1 has to be satisfied because jn(x) ∝ xn(1 + O(x2)) and jn(x) = O(1 / x). The factor k2 in the integrand typically stems from a volume integration [2].

Integral (2.1) is elementary at μ = 0 (Weber's second exponential integral [5, 6]),

  • display math(2.2)

where x = p2 / (2a) and i − njn(ix) = in(x) is a modified spherical Bessel function of the first kind, inline image, which admits, for nonnegative integer index n, the finite series expansion [3, 5]

  • display math(2.3)

where we use the Hankel symbol

  • display math(2.4)

Thus, integral (2.2) can be written as finite series,

  • display math(2.5)

which can be used for high-precision evaluation, see Table 1.

Weber integrals with positive power-law exponent

By differentiating the Weber series (2.5) with respect to a, we find

  • display math(2.6)

with

  • display math(2.7)

The superscript (k) indicates k-fold differentiation with respect to the parameter a, inline image, with inline image. Analogously, we find

  • display math(2.8)

where

  • display math(2.9)

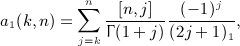
More generally, for integer m ≥ 0,

  • display math(2.10)

In the limit a → 0, we can neglect exponentially small terms inline image to find the asymptotic m-fold derivative of series (2.5) as

  • display math(2.11)

The Debye expansion of the integrals (2.10), applicable for large Bessel index n, is derived in Section 3 and the Airy approximation in Section 5. Numerical examples are given in Table 2, where the exact series evaluation (2.6), (2.7), (2.8), (2.9) of the integrals E2,4(n,p; a) is compared with their Debye and Airy approximations.

Integral inline image

We start with the finite Weber series E0(n,p; a) in (2.5), and perform term-by-term integration with respect to a,

  • display math(2.12)

to obtain

  • display math(2.13)

where [n,k] is the Hankel symbol (2.4), and Γ denotes the incomplete gamma function [3]

  • display math(2.14)

Apparently, inline image, which can readily be checked by way of the identity dΓ(α,y) / dy = − yα − 1e − y.

On the other hand, see (2.2) and (2.12),

  • display math(2.15)

where we substitute

  • display math(2.16)

to find

  • display math(2.17)

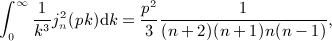
By making use of the Schafheitlin integral [6]

  • display math(2.18)

we obtain

  • display math(2.19)

where inline image is the finite series (2.13). This series representation of integral E − 2(n,p; a) is compared with its Airy approximation (5.9) in Table 3.

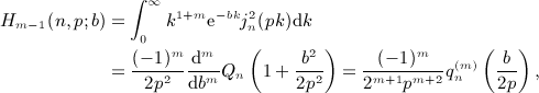
Integral inline image

This integral is calculated by iterating the integration in Section 2.2, starting with

  • display math(2.20)

where we substitute series inline image in (2.13). In the term-by-term integration of (2.20), we need some properties of incomplete gamma functions, namely the derivative stated after (2.14), the limit Γ(α,y → ∞ ) ∼ yα − 1e − y, the integral representation inline image, as well as identity (2.22). To derive the latter, we apply partial integration to d(Γ(α,x)xβ) / dx, to obtain

  • display math(2.21)

Thus,

  • display math(2.22)

We employ this integral in term-by-term integrations with integer λ ≥ 0 and half-integer α. With these prerequisites, integral (2.20) can readily be calculated as

  • display math(2.23)

The recursive relation

  • display math(2.24)

can be used to eliminate one of the gamma functions in (2.23),

  • display math(2.25)

On the other hand, we may write integral (2.20) as, see (2.15),

  • display math(2.26)

Here, we use

  • display math(2.27)

to find

  • display math(2.28)

Substituting the Schafheitlin integral (2.18) and

  • display math(2.29)

we arrive at

  • display math(2.30)

The finite series inline image is stated in (2.25) and tested in Table 3 by comparison with the Airy approximation of integral E − 4(n,p; a).

Integral inline image

The leading order of the ascending series expansion of jn(x) is xn [3], so that integral E − 6(n,p; a) in (2.1) is convergent for Bessel indices n ≥ 2. We iterate the integration in Sections 2.2 and 2.3, starting with

  • display math(2.31)

where we substitute series (2.23) for inline image. The term-by-term integration is carried out by means of identity (2.22),

  • display math(2.32)

As in (2.25), this can be reduced to one incomplete gamma function in each term via the recursive relations (2.24) and

  • display math(2.33)

We thus find

  • display math(2.34)

On the other hand, we may write integral (2.31) as, see (2.26),

  • display math(2.35)

where we substitute

  • display math(2.36)

to obtain

  • display math(2.37)

Here, we substitute the Schafheitlin integrals (2.18), (2.29), and

  • display math(2.38)

to arrive at

  • display math(2.39)

where inline image is the finite series calculated in (2.34). As mentioned, this is valid for integer index n ≥ 2. Numerical examples of the integrals E − 2, − 4, − 6 studied in Sections 2.2–2.4 are given in Table 3.

Consistency checks for Weber series

The Weber integrals (2.1) satisfy

  • display math(2.40)

We have calculated these integrals for μ = 4, see (2.8), μ = 2, see (2.6), μ = 0, see (2.5), μ = − 2, see (2.19), μ = − 4, see (2.30), and μ = − 6, see (2.39). The first consistency check is thus obtained by substituting the respective series into (2.40).

Analogously, we may consider multiple antiderivatives of the Weber series E0(n,p; a) in (2.5),

  • display math(2.41)

so that

  • display math(2.42)

valid for integer k. Here, we substitute the series inline image calculated for j = 2 in (2.9), j = 1 in (2.7), j = 0 in (2.5), j = − 1 in (2.13), j = − 2 in (2.25), and j = − 3 in (2.34). The incomplete gamma functions occurring in these series can be reduced to the complementary error function, by way of the recursive relation

  • display math(2.43)

valid for integer k ≥ − 1, where inline image.

High-index asymptotics of Weber integrals

  1. Top of page
  2. Abstract
  3. Introduction
  4. Weber averages normal inline image
  5. High-index asymptotics of Weber integrals
  6. Squared spherical Bessel functions averaged with exponentially cut power laws
  7. Airy approximation of Weber and Beltrami integrals
  8. Beltrami integrals with negative power-law exponent
  9. Antiderivatives of finite Legendre series: explicit formulae for high-precision evaluation of Beltrami integrals
  10. Conclusion
  11. APPENDIX: Multiple integrals of finite Legendre series: outline of iterative calculation
  12. References

Weber's integral representation of modified spherical Bessel functions of the first kind

To derive the high-n Debye expansion of the Weber integrals in (2.10), we start with integral (2.2),

  • display math(3.1)

where we use the shortcuts

  • display math(3.2)

The modified spherical Bessel function in(x) is defined as

  • display math(3.3)

where In + 1 / 2(x) is a modified Bessel function of half-integer index [3, 6]. The derivative of the rescaled Bessel function en(x) in (3.2) reads

  • display math(3.4)

By making use of the differential equation for modified spherical Bessel functions,

  • display math(3.5)

we find

  • display math(3.6)

We also note

  • display math(3.7)

where x = p2 / (2a), see (3.2).

With these prerequisites, we obtain the first two derivatives inline image of Weber's integral (3.1) as

  • display math(3.8)
  • display math(3.9)

where we substitute e ′ n in (3.4) and e ′ ′ n in (3.6). This is used to set up the Debye expansion of the integrals in (2.10),

  • display math(3.10)
  • display math(3.11)

When applying Debye asymptotics, it is convenient to express the spherical functions occurring in (3.4) and (3.6) by ordinary modified Bessel functions as in (3.3) for in(x); the derivative of in(x) reads

  • display math(3.12)

We thus find, see (3.2), (3.4), and (3.6),

  • display math(3.13)

Uniform Debye approximation of Weber integrals

We write the Weber integrals in (3.1), (3.10), and (3.11) as modified Bessel functions,

  • display math(3.14)

where x = p2 / (2a), and we used (3.8), (3.9), and (3.13). We introduce a new variable, writing x = (n + 1 / 2)y. The high-n Debye expansion of In + 1 / 2((n + 1 / 2)y) and its derivative I ′ n + 1 / 2((n + 1 / 2)y) reads [3]

  • display math(3.15)
  • display math(3.16)

where

  • display math(3.17)

with Rea > 0, see (3.1), and

  • display math(3.18)

The first two expansion coefficients in the asymptotic series of In + 1 / 2((n + 1 / 2)y) in (3.15) are

  • display math(3.19)

and the coefficients of the derivative I ′ n + 1 / 2(x) (at x = (n + 1 / 2)y) indicated in (3.16) read

  • display math(3.20)

The Debye expansion of the Weber integrals E0, E2, and E4 in (3.1), (3.10), and (3.11) is assembled by replacing the modified Bessel functions in (3.14) by the asymptotic series (3.15) and (3.16). Numerical tests of the Debye approximation of these integrals are performed in Tables 1 and 2.

Squared spherical Bessel functions averaged with exponentially cut power laws

  1. Top of page
  2. Abstract
  3. Introduction
  4. Weber averages normal inline image
  5. High-index asymptotics of Weber integrals
  6. Squared spherical Bessel functions averaged with exponentially cut power laws
  7. Airy approximation of Weber and Beltrami integrals
  8. Beltrami integrals with negative power-law exponent
  9. Antiderivatives of finite Legendre series: explicit formulae for high-precision evaluation of Beltrami integrals
  10. Conclusion
  11. APPENDIX: Multiple integrals of finite Legendre series: outline of iterative calculation
  12. References

Beltrami integrals and finite Legendre series

We replace the Gaussian factor in the integrand (2.1) by an exponential cutoff and consider the integrals

  • display math(4.1)

where jn(x) is a spherical Bessel function, p a positive scale parameter, and kμe − bk an exponentially cut and possibly modulated power-law distribution. The exponent μ is real, and b is complex with Reb > 0. The Bessel index n is a nonnegative integer. Hμ(n,p; b) is convergent for μ + 2n > − 3 because the ascending series of jn(x) starts with xn.

For μ = − 1, the Beltrami integral (4.1) is elementary [5],

  • display math(4.2)

qn(x) is a Legendre function of the second kind with branch cut [ − 1,1], see [3], which is elementary because of the integer degree n ≥ 0,

  • display math(4.3)

where Pn is a Legendre polynomial,

  • display math(4.4)

and [n,k] denotes the Hankel symbol (2.4). In representation (4.4), Pn is a hypergeometric polynomial [6],

  • display math(4.5)

where we use the Pochhammer symbol (α)k = α(α + 1) ⋯ (α + k − 1), (α)0 = 1, or

  • display math(4.6)

The constant γE in the Legendre function (4.3) is arbitrary because it apparently drops out, and we choose it as Euler's constant, to chancel the Euler constant in the psi function, which reads, at positive integers,

  • display math(4.7)

We perform a variable change in the Legendre function (4.3), defining qn(x) = Qn(1 + 2x2), so that integral (4.2) reads

  • display math(4.8)

where

  • display math
  • display math(4.9)

We also define, for nonnegative integers n and k, the shortcut

  • display math(4.10)

so that σ(n,k) = 0 for n ≤ k. We use the customary convention that a sum is void if the lower summation boundary exceeds the upper one. In (4.9), we can replace the difference ψ(k + 1) − ψ(n + 1) by − σ(n,k). In the second series in (4.9), we can also replace the upper summation boundary by n − 1. Numerical tests of the finite series evaluation (4.8), (4.9), (4.10) of integral H − 1(n,p; b) in (4.2) are performed in Table 4 by comparing with the Legendre asymptotics in Section 4.3 and to the Airy approximation (5.10) of Beltrami integrals.

Beltrami integrals with positive power-law exponent

Multiple b differentiation of identity (4.8) can be invoked to calculate the Beltrami integrals (4.1) at integer power-law index μ = m − 1, m ≥ 0,

  • display math(4.11)

where qn(x) is the finite Legendre series (4.9), inline image, inline image, and x = b / (2p).

For m = 1,

  • display math(4.12)

where inline image is the first derivative of qn(x) in (4.9),

  • display math(4.13)

For m = 2, we obtain

  • display math(4.14)

where the second derivative of the Legendre series (4.9) reads

  • display math(4.15)

For m = 3, we find

  • display math(4.16)

with the third derivative of qn(x)in (4.9) given by

  • display math(4.17)

The finite Legendre series inline image in (4.9), (4.13), (4.15), and (4.17) are suitable for high-precision calculations at low and moderate Bessel index n. Numerical tests of the series evaluation of integral H0 in (4.12), H1 in (4.14), and H2 in (4.16) are given in Tables 4 and 5.

High-index Legendre asymptotics of Beltrami integrals

We derive a high-n approximation of the Beltrami integrals (4.11). The uniform asymptotic limit n → ∞ of the Legendre function Qn in (4.3) is [7, 8]

  • display math(4.18)

We put cosh x = η, so that

  • display math(4.19)

and

  • display math(4.20)

The asymptotic m-fold derivative inline image, inline image, reads, in leading order in n,

  • display math(4.21)

which is obtained by repeated differentiation of (4.20), substituting arccosh'η = (η2 − 1) − 1 / 2. In leading order, we only need to differentiate the modified Bessel function in (4.20), K ′ n(z) = − Kn + 1(z) + (n / z)Kn(z). Here, we can drop the second term and thus replace the mth derivative inline image by ( − 1)mKm(z) to arrive at (4.21). We also note that inline image is an associated Legendre function of the second kind, of integer degree n and order m, with interval [ − 1,1] as branch cut [3].

Returning to (4.11), we find

  • display math(4.22)

The modified Bessel approximation is thus obtained by substituting the high-n limit of inline image as stated in (4.21), with η = 1 + b2 / (2p2). A numerical comparison of the modified Bessel approximation with the exact finite series evaluation of these integrals (in Sections 4.1 and 4.2) and their Airy approximation (5.10) is given in Tables 4 and 5.

Airy approximation of Weber and Beltrami integrals

  1. Top of page
  2. Abstract
  3. Introduction
  4. Weber averages normal inline image
  5. High-index asymptotics of Weber integrals
  6. Squared spherical Bessel functions averaged with exponentially cut power laws
  7. Airy approximation of Weber and Beltrami integrals
  8. Beltrami integrals with negative power-law exponent
  9. Antiderivatives of finite Legendre series: explicit formulae for high-precision evaluation of Beltrami integrals
  10. Conclusion
  11. APPENDIX: Multiple integrals of finite Legendre series: outline of iterative calculation
  12. References

We consider an arbitrary kernel function g(k) and write

  • display math(5.1)

In the case of the Weber averages Eμ(n,p; a) in (2.1), we put inline image. Beltrami integrals Hμ(n,p; b) are defined by g(k) = kμe − bk, see (4.1). Otherwise, the density g(k) need not be specified in this section.

We rescale the integration variable in (5.1) with (n + 1 / 2) / p,

  • display math(5.2)

and substitute the Nicholson approximation of the spherical Bessel function, valid for positive argument x and high Bessel index n [3],

  • display math(5.3)

The variable ξ(x) is defined by

  • display math(5.4)

so that ξ(x > 1) < 0 and ξ(0 < x < 1) > 0.

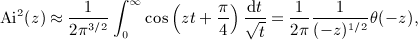
In this approximation, a squared Airy function appears in the integrand of (5.2), which admits the integral representation [9, 10]

  • display math(5.5)

valid for real argument z. For large z, we can drop the cubic term in the argument of the cosine (Riemann–Lebesgue lemma):

  • display math(5.6)

where θ(z) is the Heaviside step function. Thus, we put inline image in the interval 0 < x < 1, where ξ(x) is positive, which means to replace the lower integration boundary in integral (5.2) by 1. In the range x ≥ 1, we introduce a new integration variable, inline image, and substitute (5.6) into the squared Nicholson approximation (5.3), with inline image, to obtain

  • display math(5.7)

which covers the interval 0 < y < ∞ at high n. Applying this approximation and the indicated variable change y = x2 − 1 to integral (5.2), we obtain the Airy approximation of integral (5.1),

  • display math(5.8)

This is a steepest-descent approximation customarily employed in spectral fits of the cosmic microwave background (CMB) radiation, which can be derived in different ways by using Debye expansions [11] or Legendre asymptotics [12]. Its accuracy suffices to reproduce the multipole coefficients extracted from the CMB sky maps in the presently available resolution [1].

The Weber averages (2.1) with inline imagein (5.1) are thus approximated by

  • display math(5.9)

To connect this to the Debye expansion in Section 3, we note that E0(n,p; a) defined by (5.9) admits elementary integration, inline image. This is just the leading order of the Debye expansion (3.14) and (3.15) in the limit of large p2 / (an), where we can approximate q ≈ 1 / y and η − y ≈ − 1 / (2y) in (3.17) and (3.18).

The Airy approximation of the Beltrami averages (4.1) (with g(k) = kμe − bk in (5.1) reads

  • display math(5.10)

To connect to the Legendre asymptotics of the Beltrami integrals in (4.21) and (4.22), we perform a variable change 1 + y = (1 + t)2 in integral (5.10) to find 2p2H − 1 ≈ K0((n + 1 / 2)b / p). This coincides with the modified Bessel approximation of H − 1(n,p; b) in the limit of small b / p, where we can put arccoshη ≈ b / p and η2 − 1 ≈ b2 / p2 in (4.21). The accuracy of the Airy approximations (5.9) and (5.10) is limited as exemplified in Tables 1-7, but they are numerically tame and also apply for noninteger exponents μ.

Beltrami integrals with negative power-law exponent

  1. Top of page
  2. Abstract
  3. Introduction
  4. Weber averages normal inline image
  5. High-index asymptotics of Weber integrals
  6. Squared spherical Bessel functions averaged with exponentially cut power laws
  7. Airy approximation of Weber and Beltrami integrals
  8. Beltrami integrals with negative power-law exponent
  9. Antiderivatives of finite Legendre series: explicit formulae for high-precision evaluation of Beltrami integrals
  10. Conclusion
  11. APPENDIX: Multiple integrals of finite Legendre series: outline of iterative calculation
  12. References

We calculate the integrals Hμ(n,p; b) in (4.1) for μ  = − 2, − 3, − 4, − 5. These integrals can be expressed as finite linear combinations of elementary functions, as is the case for positive exponents discussed in Section 4.2. Convergence conditions are stated after (4.1). We assume the parameter b in the exponential of (4.1) to be real and positive and invoke analytic continuation to complex b as final step if required. Negative integer power-law exponents 2 + μ (including zero) in integral (4.1) are obtained by repeated b integration of identity (4.8) over the interval [0,b]. The starting point is thus identity

  • display math(6.1)

where qn(x) is the Legendre series in (4.9) and p > 0, b > 0.

We will employ the Schafheitlin integrals [6]

  • display math(6.2)

convergent for 2n + 2 > Re(1 − μ) > 0, as well as the k-fold antiderivatives of the Legendre series qn(x) in (4.9),

  • display math(6.3)

which are explicitly calculated in Section 7 for k = 1,2,3,4. These antiderivatives can be parameterized as in (4.8),

  • display math(6.4)

Integral inline image

Integral H − 2(n,p; b) in (4.1) is found by b integration of identity (6.1) over the interval [0,b] using

  • display math(6.5)

which gives

  • display math(6.6)

Here, we substitute, see (6.2),

  • display math(6.7)

which is convergent for n ≥ 0, and use (6.4) with k = 1 to obtain

  • display math(6.8)

The antiderivative inline image is defined in (6.4) and calculated in (7.2) as elementary finite series.

Integral inline image

By integrating (6.1) twice with respect to b using

  • display math(6.9)

we obtain integral H − 3(n,p; b) in (4.1) as

  • display math(6.10)

We substitute (6.7) and, see (6.2),

  • display math(6.11)

which is convergent for n ≥ 1, and use (6.4) with k = 2. Thus, we find for the scale-invariant case μ = − 3,

  • display math(6.12)

with the second antiderivative inline image of the Legendre series (4.9) stated in (7.5).

Integral inline image

To calculate integral H − 4(n,p; b) in (4.1), we apply three-fold b integration to identity (6.1), which amounts to substituting

  • display math(6.13)

We arrive at

  • display math(6.14)

Here, we use the Schafheitlin integrals (6.7), (6.11), and

  • display math(6.15)

the latter being convergent for n ≥ 1. Finally, we substitute (6.4) (with k = 3) and find integral (4.1) with exponent μ = − 4 as

  • display math(6.16)

where the third antiderivative inline image of (4.9) is listed in (7.10).

Integral inline image

Fourfold b integration of identity (6.1) by means of

  • display math(6.17)

gives integral H − 5(n,p; b) in (4.1) as

  • display math(6.18)

Here, we substitute the integrals (6.7), (6.11), (6.15), and

  • display math(6.19)

the latter being convergent for n ≥ 2, see (6.2). Finally, we employ (6.4) (k = 4) to obtain integral (4.1) with exponent μ = − 5 as

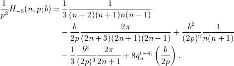
  • display math(6.20)

The antiderivative inline image is composed of finite series and elementary functions and explicitly given in (7.16). Higher negative integer exponents μ can be dealt with in like manner by repeated b integration of (6.1). In particular, the multiple integrals inline image in (6.3) stay elementary, see Appendix A. Positive integer power-law exponents 2 + μ in integral (4.1) admit elementary integration by repeated b differentiation of (6.1), see Section 4.2. Consistency checks of the identities (6.8), (6.12), (6.16), and (6.20) are also obtained by repeated b differentiation, employing the integral representation (4.1) and the differential version of (6.4),

  • display math(6.21)

To complete the calculation of the Beltrami integrals in (6.8), (6.12), (6.16), and (6.20), we still need explicit finite series representations of the multiple antiderivatives inline image, stated in Section 7.

Antiderivatives of finite Legendre series: explicit formulae for high-precision evaluation of Beltrami integrals

  1. Top of page
  2. Abstract
  3. Introduction
  4. Weber averages normal inline image
  5. High-index asymptotics of Weber integrals
  6. Squared spherical Bessel functions averaged with exponentially cut power laws
  7. Airy approximation of Weber and Beltrami integrals
  8. Beltrami integrals with negative power-law exponent
  9. Antiderivatives of finite Legendre series: explicit formulae for high-precision evaluation of Beltrami integrals
  10. Conclusion
  11. APPENDIX: Multiple integrals of finite Legendre series: outline of iterative calculation
  12. References

We give explicit formulae for the multiple antiderivatives of the Legendre series qn(x) = Qn(1 + 2x2) in (4.9), which arise in the series evaluation of Beltrami integrals in Section 6. The antiderivatives are iteratively defined, see (6.3) and (6.4),

  • display math(7.1)

where k is a positive integer, n a nonnegative integer, and inline image, inline image. We will also use the Hankel symbol [n,k] defined in (2.4), the rising factorial or Pochhammer symbol (n)k defined in (4.6), the psi function in (4.7), and the finite series σ(n,k) in (4.10). In this section, we list inline image for k = 1,2,3,4, which completes the calculation of the Beltrami integrals (6.8), (6.12), (6.16), and (6.20). In Appendix A, we sketch the systematic calculation of multiple antiderivatives inline image as finite linear combinations of elementary functions. In this section, we merely state the results.

On integrating the Legendre series qn(x) in (4.9), we find

  • display math(7.2)

where S(n,1 / 2) is defined in (A22) and calculated in (A26), and a1(k,n) denotes the series

  • display math(7.3)

which satisfies the recursive relation

  • display math(7.4)

(n)k is defined in (4.6), and [n,k] in (2.4). We may also replace the difference ψ(k + 1) − ψ(n + 1) in (7.2) by − σ(n,k), see (4.10). The series a1(0,n) can be summed in closed form, a1(0,n) = S(n,1 / 2) = 1 / (2n + 1), see (A26).

We turn to the second antiderivative inline image, obtained by integration of inline image in (7.2),

  • display math(7.5)

Here, we substitute S(n,α) as calculated in (A26) and (A29). The coefficients a2(k,n) are defined by the finite series

  • display math(7.6)

which can also be written as

  • display math(7.7)

with series a1(k,n) in (7.3). Series inline image in (7.7) satisfies a recursive identity analogous to (7.4),

  • display math(7.8)

We split series inline image into partial fractions,

  • display math(7.9)

so that inline image can be summed as inline image, see (A22), (A26), and (A29).

We turn to the third antiderivative inline image, obtained by integration of inline image in (7.5),

  • display math(7.10)

where we substitute the coefficients S(n,α) listed in (A26) and (A29), as well as series

  • display math(7.11)

This series can be split as, see (7.7),

  • display math(7.12)

with a2(k,n) in (7.6). Series inline image satisfies the recursive identity, see (7.8),

  • display math(7.13)

and can be split into three partial fractions,

  • display math(7.14)

so that inline image can be summed as, see (A26) and (A29),

  • display math(7.15)

The fourth antiderivative inline image is found by integrating inline image in (7.10),

  • display math(7.16)

Here, we substitute the respective constants S(n,α) in (A26) and (A29). The coefficients a4(k,n) are defined by the series

  • display math(7.17)

which can be written as, see (7.7) and (7.12),

  • display math(7.18)

where a3(k,n) is defined in (7.11). Series inline image in (7.18) satisfies a recursive relation analogous to (7.4), (7.8), and (7.13),

  • display math(7.19)

and can be written in four partial fractions,

  • display math(7.20)

Series inline image can be summed by means of (A22), (A26), and (A29) as

  • display math(7.21)

A stringent consistency check of the antiderivatives (7.2), (7.5), (7.10), and (7.16) is provided by the identities inline image, k = 1,2,3, which can be checked by making use of the indicated properties of the series coefficients ai(k,n), see (7.7), (7.8), (7.9), (7.12), (7.13), (7.14), and (7.18), (7.19), (7.20).

The multiple integrals inline image, k ≥ 1, defined in (7.1), are composed of three elementary functions, arctan x, log x, and log(1 + x2), as well as polynomials in x. The recursive compilation of the antiderivatives inline image of the Legendre series (4.9) is explained in Appendix A. We use inline image only in the open half-plane Rex > 0 because x = b / (2p), Reb > 0, and p > 0, see (4.2) and (4.9). The definition of arctan x is (i / 2) log((1 − ix) / (1 + ix)), and principal values are assumed for all logarithms. The explicit formulas for the antiderivatives inline image, k = 1, ⋯ ,4, given in (7.2), (7.5), (7.10), and (7.16) complete the calculation of the Beltrami integrals H − k − 1(n,p; b) in (6.8), (6.12), (6.16), and (6.20). Numerical checks of the antiderivatives inline image are obtained by comparing the finite series representation of H − k − 1(n,p; b), k = 1, ⋯ ,4, in Section 6 with the Airy approximation (5.10), see Tables 6 and 7.

Conclusion

  1. Top of page
  2. Abstract
  3. Introduction
  4. Weber averages normal inline image
  5. High-index asymptotics of Weber integrals
  6. Squared spherical Bessel functions averaged with exponentially cut power laws
  7. Airy approximation of Weber and Beltrami integrals
  8. Beltrami integrals with negative power-law exponent
  9. Antiderivatives of finite Legendre series: explicit formulae for high-precision evaluation of Beltrami integrals
  10. Conclusion
  11. APPENDIX: Multiple integrals of finite Legendre series: outline of iterative calculation
  12. References

We have developed techniques for the high-precision evaluation of Weber integrals inline image and Beltrami integrals inline image inline image, and tested them by comparison with high-index asymptotic expansions. These integrals arise in the multipole expansion of temperature fluctuations of the cosmic background radiation, where multipoles up to order n ≈ 104 can be resolved. In the integrands, a and b are exponents with positive real part, and p is a positive scale parameter, which can be scaled out of the squared spherical Bessel function by rescaling the exponents, so that we use p = 1 in the tables. μ is an integer power-law exponent and n ≥ 0 the integer Bessel index. The real parts of the exponents a and b are usually small in multipole expansions, see Tables 1 and 4, so that application of Laplace asymptotics is not an option.

The purpose of this article is (i) to find finite series representations of these integrals which allow safe evaluation at low and moderate Bessel index n in any desired precision; (ii) to obtain asymptotic approximations that can be used for moderate and large n; and (iii) to perform numerical tests by comparing the high-n asymptotics with the finite series expansions over a wide n range, see Tables 1-7. For instance, the Airy approximation of Weber and Beltrami integrals derived in Section 5 is of limited accuracy but turns out to be useful even for very low Bessel index.

Specifically, we derived explicit finite series representations of the Weber integrals Eμ for power-law exponents μ = 0,2,4 and μ = − 2, − 4, − 6 in Section 2. The high-n Debye approximation for μ = 0,2,4 is derived in Section 3 and the Airy asymptotics for real μ in Section 5. Numerical tests are described in the captions to Tables 1-3.

Finite series expansions of Beltrami integrals Hμ with integer exponents μ = − 1,0,1,2 are given in Section 4. The Legendre asymptotics of these integrals is discussed in Section 4.3, and their Airy approximation in Section 5; numerical examples covering a wide range of Bessel indices are given in Tables 4 and 5.

In Sections 6 and 7, we obtained explicit finite series representations of Beltrami integrals with power-law exponents μ = − 2, − 3, − 4, − 5. These series expansions are compared with the Airy approximation in Tables 6 and 7. In this case, for integer exponents μ ≤ − 2, a finite series evaluation of Hμ requires multiple antiderivatives of Legendre series, whose iterative calculation is explained in Appendix A.

APPENDIX: Multiple integrals of finite Legendre series: outline of iterative calculation

  1. Top of page
  2. Abstract
  3. Introduction
  4. Weber averages normal inline image
  5. High-index asymptotics of Weber integrals
  6. Squared spherical Bessel functions averaged with exponentially cut power laws
  7. Airy approximation of Weber and Beltrami integrals
  8. Beltrami integrals with negative power-law exponent
  9. Antiderivatives of finite Legendre series: explicit formulae for high-precision evaluation of Beltrami integrals
  10. Conclusion
  11. APPENDIX: Multiple integrals of finite Legendre series: outline of iterative calculation
  12. References

We outline the systematic calculation of multiple antiderivatives inline image of the Legendre series qn(x) = Qn(1 + 2x2), see (4.3) and (4.9), as defined in (7.1). In particular, we derive the antiderivatives inline image for k = 1,2,3,4, which are stated in (7.2), (7.5), (7.10), and (7.16).

We start with some prerequisites relating to the geometric series

  • display math(A1)

and its n-fold antiderivative

  • display math(A2)

where we use the rising factorial (a)n = a(a + 1) ⋯ (a + n − 1) and (a)0 = 1. More generally, we will need the antiderivatives of gk(x)xl,

  • display math(A3)

where k, l and n are nonnegative integers, and Ak,l,0(x) = gk(x)xl. We also note the identities

  • display math(A4)

To assemble the antiderivatives inline image of the Legendre series (4.9), we need some integrals that can be expressed in terms of the finite series Ak,l,n(x) in (A3). First,

  • display math(A5)

so that I ′ 1(x,k) = x2klog(1 + x2) = : I0(x,k). Odd powers can be dealt with in like manner,

  • display math(A6)

The integrals (A6) are needed to calculate the antiderivative of I1(x,k) in (A5),

  • display math(A7)

The third antiderivative of I0(x,k) reads

  • display math(A8)

where we made use of identity Ak + 1,0,1(x) = x − Ak,2,1(x) in (A4).

The antiderivative of I3(x,k) is

  • display math(A9)

where we employed identity Ak + 1,1,1(x) = x2 / 2 − Ak,3,1(x), see (A4). In these iterative calculations, inline image, we used the elementary integrals

  • display math(A10)

Apparently, I ′ n + 1(x,k) = In(x,k), which serves as a consistency check of the antiderivatives (A5) and (A7), (A8), (A9). When differentiating, we employ the differential identity in (A4) and make use of the fact that series Ak,l,0(x) can be summed in closed form as gk(x)xl, with gk(x) in (A1).

In addition to the integrals In(x,k), we need multiple antiderivatives of L0(x,k) = x2klogx, that is,

  • display math(A11)

with n ≥ 1, as well as the antiderivatives of P0(x,k) = x2k,

  • display math(A12)

The i-fold antiderivatives inline image of the Legendre series qn(x), listed in Section 7 for i = 1,2,3,4, are assembled from the integrals In(x,k), Ln(x,k), and Pn(x,k), calculated in (A5), (A6), (A7), (A8), (A9), (A10), (A11), (A12). Substituting the Legendre series (4.9) into the multiple integral (7.1), we find

  • display math(A13)

where

  • display math(A14)
  • display math(A15)
  • display math(A16)

In series Ai(x,n), we interchange the k summation with the j summation of Ak,l,n(x) (defined in (A3) and occurring in the series representation of the integrals Ii(x,k)),

  • display math(A17)

In the following, we list Ai(x,n) for i = 1,2,3,4. By making use of the antiderivative I1(x,k) in (A5) and the summation interchange (A17), we find, see (A14),

  • display math(A18)

where the finite series a1(j,n) is stated in (7.3). The antiderivative inline image recorded in (7.2) is obtained by means of (A13) with (A15), (A16), and (A18) substituted.

As for the second antiderivative inline image, see (A13), we obtain A2(x,n) in (A14) as

  • display math(A19)

with series a2(j,n) defined in (7.6). Here, we used I2(x,k) in (A7) and interchanged summations according to the prescription (A17). The final result for inline image is stated in (7.5).

Regarding the calculation of inline image in (A.13), we can proceed analogously. Series A3(x,n) in (A14) is found by substituting integral I3(x,k), see (A8), and by performing the interchange (A17),

  • display math(A20)

Series a3(j,n) is defined in (7.11), and the final result for inline image is recorded in (7.10).

Finally, we substitute integral I4(x,n) (calculated in (A9)) into series A4(x,n) (defined in (A14)), and interchange summations as in (A17), to obtain

  • display math(A21)

Series a4(j,n) is defined in (7.17). The fourth antiderivative inline image of the Legendre series (4.9) is assembled via (A13) by substitution of (A15), (A16), and (A21). The final result inline image is stated in (7.16).

In (A18), (A19), (A20), (A21), we encounter series of type

  • display math(A22)

where Reα > 0, and the Hankel symbol [n,k] is defined in (2.4). All finite series arising in (A18), (A19), (A20), (A21), which do not involve powers of x, can be reduced to S(n,α) by partial fraction decomposition. Series (A22) can be traced back to the Legendre polynomial Pn(x) in representation (4.4), by performing a variable change x = 1 − 2y2,

  • display math(A23)

Thus, we may write series (A22) as

  • display math(A24)

By making use of (A23) and a standard integral of the hypergeometric function [13], we find

  • display math(A25)

where n ≥ 0 is a nonnegative integer, and Reα > 0. In this way, we have summed series (A22). For instance,

  • display math(A26)

Singularities emerge in the gamma functions in (A25) at positive integer α. In this case, epsilon expansion is needed. We put α = m + ε, m ≥ 1, and use the expansion

  • display math(A27)

valid for integer j ≥ 0, where the psi function is defined in (4.7). We find S(n,m + ε) = O(ε) for n ≥ m and

  • display math(A28)

valid for n < m. Thus,

  • display math(A29)

When assembling the antiderivatives inline image in Section 7, we make extensive use of series S(n,α) in (A22) for half-integer and integer α as listed in (A26) and (A29).

Finally we note a consistency check of the antiderivatives inline image in (7.2), (7.5), (7.10), and (7.16). The numerical calculation of inline image can directly be based on (A13), (A14), (A15), (A16), without the interchange of indices (A17) in Ai(x,n). That is, the coefficients Ai(x,n) required in (A13) are calculated by substituting the integrals Ii(x,k) into series (A14) and by performing the k summation as indicated in (A14). Closed analytic expressions of the integrals Ii(x,k) are given in (A5) and (A7), (A8), (A9), where we use the finite series representation (A3) of the antiderivatives Ak,l,n(x) in the numerical evaluation.

References

  1. Top of page
  2. Abstract
  3. Introduction
  4. Weber averages normal inline image
  5. High-index asymptotics of Weber integrals
  6. Squared spherical Bessel functions averaged with exponentially cut power laws
  7. Airy approximation of Weber and Beltrami integrals
  8. Beltrami integrals with negative power-law exponent
  9. Antiderivatives of finite Legendre series: explicit formulae for high-precision evaluation of Beltrami integrals
  10. Conclusion
  11. APPENDIX: Multiple integrals of finite Legendre series: outline of iterative calculation
  12. References
  • 1
    Planck Collaboration et al. Planck 2013 results. I. Overview of products and scientific results 2013. arXiv:1303.5062.
  • 2
    Tomaschitz R. Multipole fine structure of the cosmic microwave background: reconstruction of the temperature power spectrum. Monthly Notices of the Royal Astronomical Society 2012; 427:13631383.
  • 3
    Olver FWJ, Lozier DW, Boisvert RF, Clark CW (eds). NIST Handbook of Mathematical Functions. Cambridge University Press: Cambridge, 2010. Available from: http://dlmf.nist.gov [Accessed on 1 October 2012].
  • 4
    Newton RG. Scattering Theory of Waves and Particles. Springer: New York, 1982.
  • 5
    Watson GN. A Treatise on the Theory of Bessel Functions. Cambridge University Press: Cambridge, 1996.
  • 6
    Magnus W, Oberhettinger F, Soni RP. Formulas and Theorems for the Special Functions of Mathematical Physics. Springer: New York, 1966.
  • 7
    Olver FWJ. Asymptotics and Special Functions. K.A. Peters: Wellesley, MA, 1997.
  • 8
    Jones DS. Asymptotics of the hypergeometric function. Mathematical Methods in the Applied Sciences 2001; 24:369389.
  • 9
    Reid WH. Integral representations for products of Airy functions. Zeitschrift für angewandte Mathematik und Physik 1995; 46:159170.
  • 10
    Vallée O, Soares M. Airy Functions and Applications to Physics, 2nd ed. Imperial College Press: London, 2010.
  • 11
    Bond JR, Efstathiou G. The statistics of cosmic background radiation fluctuations. Monthly Notices of the Royal Astronomical Society 1987; 226:655687.
  • 12
    Weinberg S. Fluctuations in the cosmic microwave background. II. Physical Review D 2001; 64:123512.
  • 13
    Erdélyi A, Magnus W, Oberhettinger F, Tricomi FG (eds). Tables of Integral Transforms, Vol. 2, McGraw-Hill: New York, 1954.